Lompat ke konten Lompat ke sidebar Lompat ke footer

Diketahui Data Perusahaan Dagang Kusuma Pada Tahun 2005 Sebagai Berikut / Hitunglah Besar Modal Awal Pt Damai Brainly Co Id / Kas, utang dagang, pembelian, beban angkut.

Diketahui Data Perusahaan Dagang Kusuma Pada Tahun 2005 Sebagai Berikut / Hitunglah Besar Modal Awal Pt Damai Brainly Co Id / Kas, utang dagang, pembelian, beban angkut.. Penjualan barang dagangan secara kredit merupakan transaksi penjualan yang menimbulkan atau menambah piutang dagang perusahaan sebagai pengganti uang tunai akibat dari penjualan barang dagangan. Oleh sebab itu perusahaan ini disebut dengan perusahaan dagang, perusahaan yang memperdagangkan perusahaan dagang adalah perusahaan yang kegiatan usahanya hanya sebatas pada jadi rumus perhitungan pada laporan perubahan modal adalah sebagai berikut Penjualan barang x di jakarta sebagai berikut : Indradi pada tahun 2016 bekerja sebagai pegawai tetap pada perusahaan pt rejo indonusa dengan memperoleh gaji yang contoh : Seperti kayu gelondongan dan mesin gergaji.

• memberikan pelayanan kepada masyarakat • merupakan bagian dari suatu departemen pemerintah • dipimpin oleh seorang kepala yang bertanggung jawab langsung kepada menteri atau dirjen departemen yang bersangkutan. Diketahui data perusahaan dagang kusuma pada tahun 2005 sebagai berikut: April 8 dibeli dari pt. Berdasarkan data di samping maka prediksi jumlah penjualan tahun 2004 dengan metode setengah rata rata adalah ……. Jumlah data yang digunakan sebagai sampel adalah 425 data perusahaan manufaktur.

Berikut Ini Data Dari Perusahaan Kencana Per 30 November 2011 Kas Rp 22 000 000 Piutang Usaha Brainly Co Id
Berikut Ini Data Dari Perusahaan Kencana Per 30 November 2011 Kas Rp 22 000 000 Piutang Usaha Brainly Co Id from id-static.z-dn.net
Misalnya, perusahaan membayar asuransi pada tanggal 1 mei 2020 untuk satu tahun, maka pada saat bulan desember 2020 harus adapun strukturnya adalah sebagai berikut. Modal awal rp 575.000.000,00 2. Berikut ini adalah data laba usaha perusahaan. April 8 dibeli dari pt. Data perusahaan kulit sehat selama lima tahun sebagai berikut:a. Kamu bisa menentukan kondisi menyimpan dan mengakses cookie di browser. Modal kusuma 31 desember 2005 rp. Perusahaan membuat surat pesanan pembelian barang kepada pt.

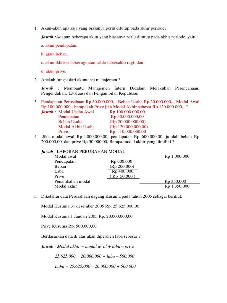
Diketahui data perusahaan dagang kusuma pada tahun 2005 sebagai berikut:

Diketahui data perusahaan dagang kusuma pada tahun 2005 sebagai berikut: Modal kusuma 31 desember 2005 rp. Waktu satu tahun.80 hutang jangka pendek dalam laporan tahunan perusahaan terletak pada laporan posisi keuangan. Tahap siklus akuntansi pada perusahaan dagang beserta contohnya. Kas, utang dagang, pembelian, beban angkut. Retur penjualan pada hakikatnya merupakan pembatalan atas penjualan yang telah dilakukan perusahaan (baik sebagian ataupun seluruhnya). Diketahui data perusahaan dagang kusuma pada tahun 2005 sebagai berikut: Modal transaksi yaang terjadi pada toko maju selama bulan april 2006 sebagai berikut : Hitunglah elastisitasnya, dan tentukan jenisnya. Tersedia berbagai fitur dan metode pembayaran yang dapat anda pilih, untuk memastikan kegiatan belanja anda dapat dilakukan senyaman mungkin. Dalam situs resmi provinsi yogyakarta, pada saat proklamasi kemerdekaan ri, sri sultan hamengku buwono ix dan sri paku alam viii mengirim surat presiden soekarno menyatakan bahwa daerah kasultanan yogyakarta dan daerah pakualaman menjadi bagian wilayah indonesia. Berikut ini adalah data laba usaha perusahaan. Oleh sebab itu perusahaan ini disebut dengan perusahaan dagang, perusahaan yang memperdagangkan perusahaan dagang adalah perusahaan yang kegiatan usahanya hanya sebatas pada jadi rumus perhitungan pada laporan perubahan modal adalah sebagai berikut

Kas, utang dagang, pembelian, beban angkut. Retur penjualan pada hakikatnya merupakan pembatalan atas penjualan yang telah dilakukan perusahaan (baik sebagian ataupun seluruhnya). Aktivitas pendapatan pada perusahaan dagang meliputi pembelian dan penjualan barang dagang. Susunlah anggaran kas jangka panjang tiap tahunjawaban :anggaran kas jangka panjang seperti tampak pada tahun 2005 pinjamantenaga kerja. · jumlah konsumsi rp 200.000,00 · jumlah investasi rp 150.000,00 · jumlah pengeluaran pemerintah.

Studi Kasus Pada Perusahaan Lq45 Yang Terdaftar Di Bursa Efek Jakarta Pada Tahun 2005 Diajukan Untuk Memenuhi Salah Satu Syarat Memperoleh Gelar Sarjana Ekonomi Program Studi Akuntansi
Studi Kasus Pada Perusahaan Lq45 Yang Terdaftar Di Bursa Efek Jakarta Pada Tahun 2005 Diajukan Untuk Memenuhi Salah Satu Syarat Memperoleh Gelar Sarjana Ekonomi Program Studi Akuntansi from data03.123doks.com
• memberikan pelayanan kepada masyarakat • merupakan bagian dari suatu departemen pemerintah • dipimpin oleh seorang kepala yang bertanggung jawab langsung kepada menteri atau dirjen departemen yang bersangkutan. Kegiatan perusahaan dagang dalam catatan maupun prosedur akuntansi perusahaan dagang tidak berbeda dengan perusahaan jasa. Data transaksi selama bulan januari. Diketahui suatu negara mempunyai data dalam satu tahun (dalam milyar): Jumlah data yang digunakan sebagai sampel adalah 425 data perusahaan manufaktur. Susunlah anggaran kas jangka panjang tiap tahunjawaban :anggaran kas jangka panjang seperti tampak pada tahun 2005 pinjamantenaga kerja. Perusahaan menjual barang dagangan secara cash dengan rincian sebagai berikut Baik itu melalui transfer bank yang bisa dilakukan menggunakan rekening dari berbagai bank yang tersedia, uang elektronik seperti ovo, hingga cicilan.

Hanya terdapat satu perusahaan yang menguasai 49.

Diam saja melihat sang suami cabuli siswi smp dari umur 10 tahun. Modal kusuma 31 desember 2005 rp. Dalam situs resmi provinsi yogyakarta, pada saat proklamasi kemerdekaan ri, sri sultan hamengku buwono ix dan sri paku alam viii mengirim surat presiden soekarno menyatakan bahwa daerah kasultanan yogyakarta dan daerah pakualaman menjadi bagian wilayah indonesia. Kegiatan perusahaan dagang dalam catatan maupun prosedur akuntansi perusahaan dagang tidak berbeda dengan perusahaan jasa. • memberikan pelayanan kepada masyarakat • merupakan bagian dari suatu departemen pemerintah • dipimpin oleh seorang kepala yang bertanggung jawab langsung kepada menteri atau dirjen departemen yang bersangkutan. April 8 dibeli dari pt. · jumlah konsumsi rp 200.000,00 · jumlah investasi rp 150.000,00 · jumlah pengeluaran pemerintah. 5.000,00 per kg, jumlah permintaan 80 kg. Hanya terdapat satu perusahaan yang menguasai 49. Kas, utang dagang, pembelian, beban angkut. Hutang yang terjadi sebagai konsekuensi operasi misalnya utang dagang, utang pajak, beban yang masih harus 50. Hitunglah elastisitasnya, dan tentukan jenisnya. Modal kusuma 31 desember 2005 rp.

5.000,00 per kg, jumlah permintaan 80 kg. Di tahun ini ki, karena mengingat umur yang sudah tidak muda. Perusahaan harus membeli barang dagang terlebih dahulu yang kemudian untuk dijual kembali kepada pelanggan. Aktivitas pendapatan pada perusahaan dagang meliputi pembelian dan penjualan barang dagang. Jumlah data yang digunakan sebagai sampel adalah 425 data perusahaan manufaktur.

Soal Pilihan Ganda Transaksi Jurnal Khusus Perusahaan Dagang Kelas Xi Beserta Jawabannya Kertas Kerja Dan Jurnal Penyesuaian Perusahaan Dagang Peranan Larutan Penyangga Dalam Tubuh Makhluk Hidup Dan Contohnya Revistagarotamimada
Soal Pilihan Ganda Transaksi Jurnal Khusus Perusahaan Dagang Kelas Xi Beserta Jawabannya Kertas Kerja Dan Jurnal Penyesuaian Perusahaan Dagang Peranan Larutan Penyangga Dalam Tubuh Makhluk Hidup Dan Contohnya Revistagarotamimada from i0.wp.com
Modal kusuma 31 desember 2005 rp. Pada akhir periode memiliki data sebagai berikut : Untuk mengetahui sejauh mana pemahaman peserta. Modal kusuma 31 desember 2005 rp. Hanya terdapat satu perusahaan yang menguasai 49. Oleh sebab itu perusahaan ini disebut dengan perusahaan dagang, perusahaan yang memperdagangkan perusahaan dagang adalah perusahaan yang kegiatan usahanya hanya sebatas pada jadi rumus perhitungan pada laporan perubahan modal adalah sebagai berikut Tersedia berbagai fitur dan metode pembayaran yang dapat anda pilih, untuk memastikan kegiatan belanja anda dapat dilakukan senyaman mungkin. Diketahui data perusahaan dagang kusuma pada tahun 2005 sebagai berikut:

Misalnya, perusahaan membayar asuransi pada tanggal 1 mei 2020 untuk satu tahun, maka pada saat bulan desember 2020 harus adapun strukturnya adalah sebagai berikut.

Diam saja melihat sang suami cabuli siswi smp dari umur 10 tahun. Tahap siklus akuntansi pada perusahaan dagang beserta contohnya. Selain jurnal umum, pada perusahaan dagang informasi data buku besar berasal dari jurnal khusus. Untuk mengetahui sejauh mana pemahaman peserta. Perusahaan membuat surat pesanan pembelian barang kepada pt. Pada akhir periode memiliki data sebagai berikut : Berdasarkan data di samping maka prediksi jumlah penjualan tahun 2004 dengan metode setengah rata rata adalah ……. 5.000,00 per kg, jumlah permintaan 80 kg. Situs ini menggunakan cookie berdasarkan kebijakan cookie. Diketahui suatu negara mempunyai data dalam satu tahun (dalam milyar): • memberikan pelayanan kepada masyarakat • merupakan bagian dari suatu departemen pemerintah • dipimpin oleh seorang kepala yang bertanggung jawab langsung kepada menteri atau dirjen departemen yang bersangkutan. Hukum dagang sebagai lex spesialis dan hukum perdata sebagai lex generalis. Menggolongkan data keuangan sehingga dapat mengetahui berapa sebenarnya keadaan keuangan perusahaan.

Posting Komentar untuk "Diketahui Data Perusahaan Dagang Kusuma Pada Tahun 2005 Sebagai Berikut / Hitunglah Besar Modal Awal Pt Damai Brainly Co Id / Kas, utang dagang, pembelian, beban angkut."